Discharged without treatment

This pages describes the source used ot estimate the share of nutrients in sewers networks directly discharged to the environment, before even reaching the downstream wastewater treatment plant.

Code
knitr::opts_chunk$set(warning=F, message=F, results=F, fig.align = "center",  dev='svg')

library(tidyverse) #loads multiple packages (see https://tidyverse.tidyverse.org/)

#core tidyverse packages loaded:
# ggplot2, for data visualisation. https://ggplot2.tidyverse.org/
# dplyr, for data manipulation. https://dplyr.tidyverse.org/
# tidyr, for data tidying. https://tidyr.tidyverse.org/
# readr, for data import. https://readr.tidyverse.org/
# purrr, for functional programming. https://purrr.tidyverse.org/
# tibble, for tibbles, a modern re-imagining of data frames. https://tibble.tidyverse.org/
# stringr, for strings. https://stringr.tidyverse.org/
# forcats, for factors. https://forcats.tidyverse.org/
# lubridate, for date/times. https://lubridate.tidyverse.org/

#also loads the following packages (less frequently used):
# Working with specific types of vectors:
#     hms, for times. https://hms.tidyverse.org/
# Importing other types of data:
#     feather, for sharing with Python and other languages. https://github.com/wesm/feather
#     haven, for SPSS, SAS and Stata files. https://haven.tidyverse.org/
#     httr, for web apis. https://httr.r-lib.org/
#     jsonlite for JSON. https://arxiv.org/abs/1403.2805
#     readxl, for .xls and .xlsx files. https://readxl.tidyverse.org/
#     rvest, for web scraping. https://rvest.tidyverse.org/
#     xml2, for XML. https://xml2.r-lib.org/
# Modelling
#     modelr, for modelling within a pipeline. https://modelr.tidyverse.org/
#     broom, for turning models into tidy data. https://broom.tidymodels.org/

#load additional relevant packages
library(readxl)

#setting graphs theme
theme_set(
  theme_minimal() +
    theme(
      plot.title = element_text(face="bold")
      )
  )

#setting viridis theme for colors
scale_colour_continuous <- scale_colour_viridis_c
scale_colour_discrete   <- scale_colour_viridis_d
scale_colour_binned     <- scale_colour_viridis_b
#setting viridis theme for fill
scale_fill_continuous <- scale_fill_viridis_c
scale_fill_discrete   <- scale_fill_viridis_d
scale_fill_binned     <- scale_fill_viridis_b

For Artois-Picardie, Rhin-Meuse, Seine-Normandie and Loire-Bretagne basins, we have some estimations made in their experts assessments Etat des lieux reports.

For Artois-Picardie and Rhin-Meuse, some data was also provided about direct discharge flows, for the largest wastewater treatment plants. However this only concerns water volumes and not pollutant flows As discharges tend to have lower concentrations (because of dilution during storms), these should be seen as upper bounds.

For Loire-Bretagne and Adour-Garonne, we have data about direct discharge for the largest wastewater treatment plants, downloaded from the basins webpages (see in the tab WWTP flows preparation). Contrary to Artois Picardie and Rhin-Meuse, these relate to pollutant flows, and not water volumes. The analyses are made on Loire-Bretagne’s and Adour-Garonne’s respective WWTP flows preparation pages, and are not reproduced here. We only report the results from these pages.

Rhône-Méditerranée is the only basin for which we do not have any data related to direct discharges. For this basin we use the estimations made for Adour-Garonne, which is the other basin from Southern France.

In the following we mention French regumatory points (A1, A2, A3…) related to sewers networks and wastewater treatment plants. Their definition can be seen on this page, or by clicking on the drop-down menu below. Note that these monitored points can underestimate the actual sewers discharge to the environment, as there are sewers leakage that are not monitored.

click to see French regulatory points (A1, A2…)

To summarize the regulatory points of the graph below:

  • A1 : discharge from the sewers (not necessarily one unique)
  • A2 : last discharge before the wastewater treatment plant (one unique)
  • A3 : flow entering the wastewater treatment plant
  • A4 : outgoing flow of the wastewater treatment plant, after treatment
  • A5 : by-pass, flow that entered the plant but which was not treated (rare)

In our analysis, we merge A1 and A2 point together and refer to them as “sewers direct discharge”. A3 is considered the flow into the WWTP, A4 the flow out. The A5 point is more unclear. When it is explicitly reported, we count it as as sewer direct discharge, because is is released without a treatment. But in some water agencies data, it is merged with the A4 point as a general WWTP “outflow”. In any case, the flows in A5 point are small, and this only slightly impacts the results.

Code
path_source <- "source_data/10_discharge_without_treatment/regulatory_points_france.png"
knitr::include_graphics(path_source)

Sources and estimations for each basin

From the data we were communicated by mail (first tab below), discharges in A1 and A2 points represent 15-20% of the flow (in volume) entering the WWTP. Concentrations of discharges during storms tend to be lower than for usual flows during dry weather, so this rate is overestimated in terms of nutrient flows; on the other hand, these monitored discharges do not account for sewers leakage, leading to underestimation.

In the Etat des lieux report (second tab below), direct discharges without WWTP treatment are generally between ~10-25% of pollution entering the sewers Contrary to the data communicated by mail, this rate considers the different concentrations and unmonitored leakage, even though the estimations remains still very rough.

We keep 20% as a final order of magnitude value: nutrient flow discharged from sewers (A1 + A2 + unmonitored leaks), as a share of the flow entering the wastewater treatment plant (A3 point).

In the graphs below we show water flows on A1 and A2 points communicated by mail. The data concerns WWTPs representing more than 5 million population equivalent, out of 6.4 million for Artois-Picardie basin, so ~80% of the basin capacity.

Discharges in A1 + A2 points represent 15-20% of the flow (in volume) entering the WWTP (A3 point). This does not take into account the different concentrations of stormwater, nor the network leaks. Concentrations of discharges tend to be lower than for usual flows; on the other hand, the unmonitored leaks probably increase the rate. We keep 15-20% as an order of magnitude for this source.

Code
#data path
path_source <- "source_data/10_discharge_without_treatment/artois_picardie/"
#read data for 2019-2021
flows <- rbind(
  read_excel(paste0(path_source, "2019 - ratio A1 et A1, A2, A3.xlsx")),
  read_excel(paste0(path_source, "2020 - ratio A1 et A1, A2, A3.xlsx")), 
  read_excel(paste0(path_source, "2021 - ratio A1 et A1, A2, A3.xlsx"))
  )

#prepare data and compute A1 and A2 water volume as a share of A3
flows <- flows %>% 
  select(
    Year = Année,
    capacity = `Capacité STEU`,
    A1 = `Volume annuel A1`,
    A2 = `Volume annuel A2`,
    A3 = `Volume annuel A3`
  ) %>%
  mutate(
    flow = (A1 + A2 + A3),
    perc_discharged_A1 = round(A1/flow*100),
    perc_discharged_A2 = round(A1/flow*100)
    )

#cpation of graphs
Source <- "Source: data from Artois-Picardie Agency\ncomputation by Thomas Starck"
Code
#functions for graph reporting of A1 and A2 point
f_graph_reporting <- function(dataset, A_point_reported){
  #temporary file of reporting of A1 or A2 point, in terms of capacity (population equivalent)
  temp <- dataset %>%
    group_by(Year) %>%
    mutate(
      !!paste0(A_point_reported, "_reported") := ifelse(is.na(!!sym(A_point_reported)) == TRUE, "no", "yes")
    ) %>%
    group_by(Year, !!sym(paste0(A_point_reported, "_reported"))) %>%
    summarise(
      capacity = round(sum(capacity, na.rm = TRUE) / 10^6, 2),
      flow = round(sum(flow, na.rm = TRUE) / 10^6, 0)
    )
  
  #graph reporting
  gg <- ggplot(temp) +
    geom_area(
      aes(Year, capacity, fill = !!sym(paste0(A_point_reported, "_reported")), group = !!sym(paste0(A_point_reported, "_reported"))),
      alpha=.8
      ) +
    labs(
      y="million PE", x="",
      subtitle = "in terms of Population Equivalent (PE)",
      title = paste0("reporting of the ", A_point_reported, " point in the data"),
      caption=Source
      ) +
    scale_y_continuous(breaks = seq(0, 7, by = 1))
  
  return(gg)
}
Code
f_graph_reporting(flows, "A1")

Code
#temporary file removes empty values on A1 point
temp <- flows %>%
  filter(is.na(A1)==F)
#temporary file of mean value at the basin scale, by year
temp2 <- temp %>%
  group_by(Year) %>%
  summarise(
    A1 = round(sum(A1, na.rm=T)/10^6), 
    A3 = round(sum(A3, na.rm=T)/10^6),
    perc_discharged_A1 = round(A1/A3*100),
    )

#scatter plot graph of %, by year
ggplot(temp) +
  #individual points
  geom_jitter(
    aes(Year, perc_discharged_A1, size = A3),
    alpha=.5, width = .2
    ) +
  #mean value, in red
  geom_point(
    data = temp2, 
    aes(Year, perc_discharged_A1),
    fill="red", color="black", shape=23, size=4,
    ) +
  scale_size(range = c(0, 15)) +
  #men text, in red
  geom_text(
    data = temp2, 
    aes(Year, 65, label=paste0(perc_discharged_A1, "%")),
    hjust=0, vjust=0, color="red"
    ) +
  theme(legend.position="none") +
  labs(
    x="", y="%",
    title = "flow discharged without treatment as % of A3 flow",
    subtitle = "in A1 point. Red: value for the whole basin",
    size="incoming flow",
    caption=Source
  )

Code
f_graph_reporting(flows, "A2")

Code
#temporary file removes empty values on A2 point
temp <- flows %>%
  filter(is.na(A2)==F)
#temporary file of mean value at the basin scale, by year
temp2 <- temp %>%
  group_by(Year) %>%
  summarise(
    A2 = round(sum(A2, na.rm=T)/10^6), 
    A3 = round(sum(A3, na.rm=T)/10^6),
    perc_discharged_A2 = round(A2/A3*100),
    )

#scatter plot graph of %, by year
ggplot(temp) +
  #individual points
  geom_jitter(
    aes(Year, perc_discharged_A2, size = A3),
    alpha=.5, width = .2
    ) +
  #mean value, in red
  geom_point(
    data = temp2, 
    aes(Year, perc_discharged_A2),
    fill="red", color="black", shape=23, size=4,
    ) +
  scale_size(range = c(0, 15)) +
  #men text, in red
  geom_text(
    data = temp2, 
    aes(Year, 65, label=paste0(perc_discharged_A2, "%")),
    hjust=0, vjust=0, color="red"
    ) +
  theme(legend.position="none") +
  labs(
    x="", y="%",
    title = "% flow discharged without treatment",
    subtitle = "in A2 point. Red: value for all basin",
    size="incoming flow",
    caption=Source
  )

Code
rm(flows, temp, temp2)

In the 2019 and 2013 Etat des lieux reports, direct discharges are generally between around ~10-25% of pollution entering the sewers We keep 20% as an order of magnitude. The experts assessment relies both on nutrient flow measures on A1 and A2 points, but also on the difference between expected discharge by people and what is actually measured at the entrance of WWTP. So the limitation previously mentioned on unmonitored leakage and concentration does not apply here, eventhough the estimation is very rough.

Code
path_source <- "source_data/10_discharge_without_treatment/artois_picardie/" 

Document found on this website page, page 70

Code
knitr::include_graphics(paste0(path_source, "2019.png"))

Pollution discharged directly by sewers networks (in pink) represents (with 0.8 uncertainty in the global flows if we count residual pollution in grey):

3.6/(21x4/4.7) = 20% of pollution produced by population (up to (3.6+0.8)/(21x4/4.7)=25% if we count residual pollution)

Pollution discharged directly by sewers networks (in pink) represents (with 0.1 uncertainty in the global flows if we count residual pollution in grey):

0.5/(2.8x4/4.7) = 20% of pollution produced by population (up to (0.5+0.11)/(2.8x4/4.7)=26% if we count residual pollution)

Pollution discharged directly by sewers networks (in pink) represents (with 4.6 uncertainty in the global flows if we count residual pollution in grey):

15/(120x4/4.7) = 15% of pollution produced by population (up to (15+4.6)/(120x4/4.7)=19% if we count residual pollution)

Document on this website page. Based on an assessment on 19 urban areas, the agency found that 10% of the pollution produced byt the population is directly discharged by storm overflows.

Code
knitr::include_graphics(paste0(path_source, "2013_MES.png"))

Page 65.

Pollution discharged directly by sewers networks represent

10/91 = 11%, up to (10+12)/91 = 25% if we count theoretical residual pollution)

Code
knitr::include_graphics(paste0(path_source, "2013_DBO.png"))

Page 98.

Pollution discharged directly by sewers networks represent

8.1/85.1 = 10% of pollution produced by population (up to (8.1+13.8)/85.1 = 25% if we count theoretical residual pollution)

Code
knitr::include_graphics(paste0(path_source, "2013_N.png"))

Page 99.

Pollution discharged directly by sewers networks represent

2/19 = 10% of pollution produced by population (up to (2+1.5)/19 = 18% if we count theoretical residual pollution)

Code
knitr::include_graphics(paste0(path_source, "2013_P.png"))

Page 100.

Pollution discharged directly by sewers networks represent

0.2/2.5 = 8% of pollution produced by population (up to (0.2+0.3)/2.5 = 20% if we count theoretical residual pollution)

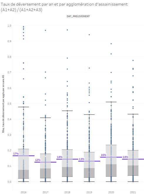
Similarly to the Artois-Picardie basin (previous tab), we were communicated data on water flows in A1 and A2 points, and we have studied the Etat des lieux experts assessment report. Values are around 15-25%, we keep 20% as an order of magnitude.

These data show that A1 + A2 direct discharge flows represent ~15% of total incoming flow, so ~18% the flow finally entering the WWTP.

Code
path_source <- "source_data/10_discharge_without_treatment/rhin_meuse/"
knitr::include_graphics(paste0(path_source, "discharged_without_treatment_rhin_meuse.jpg"))

On this document, p126, found on this webpage .

water storm / (industry to sewers + connected housings) = 0.99 / (3.44 + 0.69) = 24%

Code
path_source <- "source_data/10_discharge_without_treatment/rhin_meuse/"
knitr::include_graphics(paste0(path_source,"etat_des_lieux.png"))

For Seine-Normandie Etat des lieux, there is genarally a discrepancy concerning estimated pollution from direct discharge depending on the type of pollution considered. All expressed as % of pollution entering the WWTP:

  • DBO5, DCO and MES are generally around 7-15%
  • P is around 20-25% in 2013 and 2004
  • N is around 1-4% in 2013 and 2004

We are interested in N and P, which are the more extreme values. We consider that the 1% is an implausible outlier. We chose an intermediate value corresponding to DBO5, DCO and MES: 10%. That means that N direct discharge could be overestimated by a factor 2.5 and P underestimated by 2-2.5.

Code
path_source <- "source_data/10_discharge_without_treatment/seine_normandie/" 

Document, p93, from this website page.

If we say that about half of the rainwater entering sewers is discharged without treatment, we can estimate the pollution discharged without treatment as % of the A3 point (entrance of station) by :

(109-38/2)/(760-38/2) = 12% of incoming pollution in A3

100/63 = 175% of outgoing pollution in A4

Pollution from rainwater coming in WWTP entrance represent (38/2)/760 = 2.5% of A3 point.

Code
knitr::include_graphics(paste0(path_source, "2019_DCO.png"))

On this document.

p 107

Discharged without treatment as % of A3 point (entrance of station), after removing rainwater :

(45-2.5)/(314-9.8) = 14% of incoming pollution in A3

Pollution from rainwater coming in WWTP entrance represent 9.8/314 = 3% of A3 point.

Code
knitr::include_graphics(paste0(path_source, "2013_DBO.png"))

p 108

Discharged without treatment as % of A3 point (entrance of station), after removing rainwater :

(108-10)/(764-38) = 13% of incoming pollution in A3

Pollution from rainwater coming in WWTP entrance represent 38/764 = 5% of A3 point.

Code
knitr::include_graphics(paste0(path_source, "2013_DCO.png"))

p 153

Discharged without treatment as % of A3 point (entrance of station), after removing rainwater :

(85-60)/(394-40) = 7% of incoming pollution in A3

Pollution from rainwater coming in WWTP entrance represent 78/406 = 20% of A3 point.

Code
knitr::include_graphics(paste0(path_source, "2013_MES.png"))

p 135

Discharged without treatment as % of A3 point (entrance of station), after removing rainwater :

(2.6-0.2)/(10-0.8) = 26% of incoming pollution in A3

Pollution from rainwater coming in WWTP entrance represent 0.8/10 = 8% of A3 point.

Code
knitr::include_graphics(paste0(path_source, "2013_P.png"))

p 114

Discharged without treatment as % of A3 point (entrance of station), after removing rainwater :

(1.5-1)/(79-4) = 1% of incoming pollution in A3

Pollution from rainwater coming in WWTP entrance represent 4/79 = 5% of A3 point.

Code
knitr::include_graphics(paste0(path_source, "2013_N.png"))

Document found on this website page.

p 39

Discharged without treatment as % of A3 point (entrance of station), after removing rainwater :

(183-30)/(603-30) = 27% of incoming pollution in A3

Pollution from rainwater coming in WWTP entrance represent 20/603 = 3% of A3 point.

Code
knitr::include_graphics(paste0(path_source, "2004_DCO.png"))

p 42

Discharged without treatment as % of A3 point (entrance of station), after removing rainwater :

(85-60)/(394-40) = 7% of incoming pollution in A3

Pollution from rainwater coming in WWTP entrance represent 40/394 = 10% of A3 point.

Code
knitr::include_graphics(paste0(path_source, "2004_MES.png"))

p 49

Discharged without treatment as % of A3 point (entrance of station), after removing rainwater :

(3.2-0.5)/(13.1-0.4) = 21% of incoming pollution in A3

Pollution from rainwater coming in WWTP entrance represent 0.4/13.1 = 3% of A3 point.

Code
knitr::include_graphics(paste0(path_source, "2004_P.png"))

p 44

Discharged without treatment as % of A3 point (entrance of station), after removing rainwater :

(5.7-2.9)/(70-1.8) = 4% of incoming pollution in A3

Pollution from rainwater coming in WWTP entrance represent 1.8/70 = 2.5% of A3 point.

Code
knitr::include_graphics(paste0(path_source, "2004_N.png"))

The data analysed on Loire-Bretagne page (in Etat des lieux -> A1, A2 and A5) results in a 15% rate for direct discharge pollution as a share of pollution entering WWTP (only monitored discharges, does not consider sewers leaks).

The Etat des lieux expert assessment gives figures of 10-15%, which is coherent.

We keep 15% as an order of magnitude.

See on Loire-Bretagne data preparation page, in Etat des lieux -> A1, A2 and A5.

As % of pollution entering the station (A3 point), direct discharge in A1, A2 and A5 represent in total 15% (respectively 9%, 4% and 2%).

Code
path_source <- "source_data/10_discharge_without_treatment/loire_bretagne/" 

Document found on this website page

In general, direct discharge of pollution represent 10-15% of pollution entering the station in A3 point coherent with our precedent estimation. To compute this, we first compute direct discharge as % of WWTP outflow (A4 point), then compute as % of entrance (A3 point) using WWTP removal efficiency. See computation below.

p 160

Code
knitr::include_graphics(paste0(path_source, "2019.png"))

page 162

Code
knitr::include_graphics(paste0(path_source, "2019_yield.png"))

Pollution discharged without treatment represents

(1.4+12.3)/23.5 = 60% of A4 point (up to (1.4+12.3+5)/23.5 = 71% with rainwater pollution)

and

60% x (1-0.83) = 10% of A3 point (up to with rainwater 71% x (1-0.83) = 12% pollution)

Rain water represents 5 / 23.5/(1-0.83) = 3.5% of pollution in A3 point (station entrance)

Pollution discharged without treatment represents

(0.2+1.5)/3 = 55% of A4 point (up to (0.2+1.5+1.2)/3 = 100% with rainwater pollution)

and

55% x (1-0.83) = 9% of A3 point (up to 100% x (1-0.83) = 17% with rainwater pollution)

Rain water represents1.2 / 3/(1-0.83) = 7% of pollution in A3 point (station entrance)

Pollution discharged without treatment represents

(5.5+49)/12.2 = 450% of A4 point (up to (5.5+49+33)/12.2 = 700% with rainwater pollution)

and

450% x (1-0.98) = 9% of A3 point (up to 700% x (1-0.98) = 14% with rainwater pollution)

Rain water represents 33 / 12.2/(1-0.98) = 6% of pollution in A3 point (station entrance)

Pollution discharged without treatment represents

(123+13.5)/89 = 150% of A4 point (up to (123+13.5+200)/89 = 380% with rainwater pollution)

and

150% x (1-0.94) = 9% of A3 point (up to 380% x (1-0.94) = 23% with rainwater pollution)

Rain water represents 200 / 89/(1-0.94) = 13%% of pollution in A3 point (station entrance)

On this document, p150

Code
knitr::include_graphics(paste0(path_source, "2013.png"))

Direct discharge without treatment represents

12/59 = 17% of A4 point

and

12 / 59/(1-0.8) = 4% of A3 point (see 2013 yield in 2019 report)

Direct discharge without treatment represents

17/29 = 60% of A4 point

and

17 / 29/(1-0.92) = 5% of A3 point (see 2013 yield in 2019 report)

The data analysed on Adour-Garonne webpage (in Etat des lieux -> A1, A2 and A5) results in ~7% rate for direct discharge pollution as a share of pollution entering WWTP.

We do not have data for Rhône-Méditerranée. We use the same rate as Adour-Garonne, the other French Southern basin (with the closest climate), ~7%

Synthesis

Caution, theses should be seen as orders of magnitude. The definition of losses may differ between basins (sometimes the A5 point is considered and sometimes not, sometimes unmonitored sewer losses are estimated and sometimes not…). At the national scale, the population-weigthed average is 10%.

Code
#path of the file with our estimation for each basin
path_source <-"source_data/10_discharge_without_treatment/"

#load file
discharge <- 
  read.csv(
    paste0(path_source, "discharge_without_treatment_estimations.csv"),
    ) %>%
  mutate(value = paste(percent_loss*100, "%"))
#order by increasing %
discharge$basin <- reorder(discharge$basin, discharge$percent_loss)

#graph
ggplot(discharge) +
  geom_col(
    aes(
      basin, 
      percent_loss*100, 
      fill=basin
      )
    ) +
  geom_text(
    aes(basin, percent_loss*100, label = paste(percent_loss*100, "%")),
    fontface="italic", family = "Times New Roman", hjust=0
  ) +
  theme(
    strip.text.y.right = element_text(angle = 0),
    legend.position = "none") +
  coord_flip() +
  ylim(0, 100) +
  labs(
    y="%", x="",
    title = "Pollution discharged without treatment as % WWTP entrance",
    caption="based on combination of data and expert judgements from the 6 basins"
    )

Code
rm(list = ls())